Many questions have been asked several times.
Here are some important questions and answers at a glance.
HEROSE Facts
Who is who in the HEROSE sales team?
HEROSE general terms and conditions
HEROSE terms and conditions of purchase
-
In what data formats can HEROSE send drawings?
On request, HEROSE can send drawings in .pdf format as well as 3D CAT models without internal components for inclusion if the pipe work of containers and plant components as Iges (.igs) or Step (.stp) files.
FAQ Technic
What are the requirements for the transport, storage, operation, maintenance and service of HEROSE valves for use with oxygen?
How to distinguish between HEROSE globe valves with check function and without from the outside view?
-
How does HEROSE chrome or nickel plate valves?
Nickel plating provides a high resistance to acids and alkalis and can be recognised by a slightly "yellowish" appearance compared with chrome plated versions. Chrome plating also provides additional protection due to its greater hardness and can be visually recognised by its clear mirror-finish. However, the surface gloss can only be controlled within certain limits (surface gloss vs. durability) and it always depends on the existing surface structure of the substrate material. Essentially, the surface gloss depends on the degree of gloss of the underlying nickel plating. Normally, the external components of HEROSE valves are treated. However, this does not mean that the internal components can be treated if required. In order to ensure durable plating of the surface, it is especially important that the components are specially cleaned prior to the actual plating. Because of the special cleaning process, deoxidisation and thorough rinsing several times in completely desalinated water, the components are activated ad prepared for the electroplating process.
Process description: Electroplating refers to processed for the electrochemical deposit of metallic coatings onto metallic or non-metallic substrates. Electro-crystallisation is carried out in an aqueous solution of metal salts, either by the external application of direct current (method I), or without the use of current by means of the reaction of the metal ions with a reducing agent (method II). The components of HEROSE safety valves are given a high-gloss nickel plating by means of method I. Although methods which do not use current, e.g. chemical nickel, plate all surfaces which are wetted by the electrolyte, they do not provide the required degree of gloss.
With chrome plated components, an additional chrome plating process is carried out after electroplating with nickel as described above. The depositing of chrome onto the component is once again carried out by means of direct current from an external source.
-
At what pressure do safety valves fully open and close again?
According to the Pressure Equipment Directive 2014/68/EU, a temporary excess pressure must be limited to 10% of the maximum permissible pressure. Normal safety valves achieve the stroke necessary to release the required volume after being triggered within a pressure increase of maximum 10%. After triggering by a pressure increase of within 5%, full-stroke safety valves open suddenly to the constructive limit of their stroke. The proportion of the stroke up to sudden opening must not exceed 20% of the total stroke. (See also DIN ISO 4126-1:2004, AD 2000 data sheet A2, ASME Code Sec. VIII Div I; UG-125 (c) )
According to AD 2000 data sheet A2 and DIN ISO 4126-1:2004, safety valves must close within a pressure reduction below the triggering pressure of 10% for compressible media and 20% for incompressible media.
-
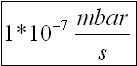
What degree of helium sealing is fulfilled by HEROSE?
It is not possible to make a general statement regarding the degree of sealing for helium. If a helium leak test is required, the customer must state his specifications. HEROSE will then attempt to achieve the customer's specifications by alternating leak tests and reworking. With HEROSE, realistic values are between:
and 
-
How does HEROSE carry out leak tests?
The tightness of a safety valves is examined at HEROSE according to the following procedure (see API 527):The outlet shall be locked with an adapter, to which a hose is plugged. On the other site this hose is connected with a tube, which plunges in a glass full of water. The tube shall have an outside diameter of 7.9mm, an inside diameter of 6.12mm and an immersion depth of 12.7mm. The amount of bubbles per minute gives evidence about the level of leakage. Permitted values are ruled in the API 527. Higher requirements for the tightness need a separate individual handling of the valve. Other than metal sealing valves, soft-seal valves have to be bubble-tight up to 90% of the set pressure.
-
What degree of sealing do HEROSE safety valves achieve?
HEROSE guarantees a tightness according to API 527 until 90% of the set pressure is reached. After that, the disc of the safety valve begins already to float on the seat until the safety valve starts to open audibly. Because of external factors (vibrations, temperature increase), which could have an effect on this, the safety valve could start to open earlier. Therefore HEROSE recommends limiting the max. operating pressure up to 85% of the set pressure of the safety valve. Therefore the tightness is guaranteed in any case.
-
What degree of sealing do HEROSE globe valves achieve?
Shut-off valves are tested with gas as per DIN EN 12266. HEROSE valves achieve leakage rate A, which means that "no visibly detectable leakage during the duration of the test" may occur.
-
Which tightening torques does HEROSE use?
Further Informationen you find in the following PDF downloads:
Mounting bonnet-body – torque moments
Locking torque for safety valves, plug screw and blow-out disc at diverter valves